
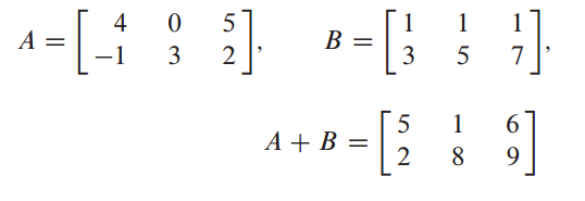
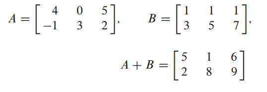
문제설명

입력 & 출력

나의 풀이


먼저 풀이 설명에 앞서 실수했던 점을 짚어보고 가려고 합니다.
너무 예제 입력 1번에 맞춰서 코드를 짜다 보니깐 Overfitting(과적합) 코드가 되어서 계속 런타임 에러가 발생했습니다.
문제를 100% 이해하고 코드를 짜는 것이 중요한데 제대로 이해하지 않고 예제 출력에 맞추면 안 된다는 것을 다시 한번 느끼게 한 문제였습니다.

먼저 문제는 문제 이름처럼 행렬을 더해주는 문제입니다. 각각 모든 요소를 더하면 되는 간단한 문제지만 배열에 대한 접근이 마냥 쉽지만은 않은 문제입니다.
이제 "나의 풀이"를 설명해보겠습니다!
코드를 간결하게 줄이기 위해서 처음에 입력을 받을 때 첫째 줄의 N과 M을 받아줄 NM과 input으로 받아주었습니다.
버퍼를 toStirng()으로 문자열로 변환해야하기 때문에 이후에 배열의 요소를 접근하기 위해 map() 메서드를 사용하여 공백을 기준으로 나눠주고, 정수형으로 변환을 해줘야 합니다.
그리고 4번째 줄에서 구조 분해 할당을 사용하여 N과 M으로 저장합니다.

10번째 줄 기본 for문에서 N을 기준으로 두 개의 행렬 a와 b로 나눠주면 위와 같이 2차원 배열에 N과 M이 저장됩니다.
그리고 2차원 배열을 접근하기 위해서 이중 for문을 사용했습니다. 7번째 줄에서 초기화한 빈 문자열 result에 a와 b의 각각 요소를 더해주고, 백틱(`)을 사용하여 문자열로 변환해 주었습니다.
그리고 각 요소가 끝나면 줄 바꿈을 넣어줘서 마무리했습니다.
참고 ❗
[JavaScript] Array filter() 사용법과 map()과 차이점
filter() "배열".filter(callBackFunction(currValue, index, array), newValue); filter()는 말 그대로 걸러주는 역할을 하는 함수입니다. 주로 특정 조건을 만족하는 새로운 배열을 필요로 할 때 사용하는 편입니다. ca
pixx.tistory.com
[JavaScript] 이스케이프 문자 처리 / 백틱(Backtick)
이스케이프 문자 ❓ 이스케이프 문자(escape character, 제어 문자)는 문자 제어 코드로, 화면에 출력하는 문자가 아니라 문자 출력을 제어하는 문자이며 \(역슬래쉬)와 한 개의 문자와 결합하여 작성
pixx.tistory.com
[JavaScript] 전개 연산자(Spread Operator) [...] 와 Rest Parameter
전개 연산자(Spread Operator) 전개 연산자(스프레드 연산자 ...)는 배열의 요소나 반복 가능한 객체 등의 요소를 전개하거나 나열해주는 연산자 입니다. apply()를 이용하여 배열의 요소 전개하기 functi
pixx.tistory.com
'Coding Test > 백준' 카테고리의 다른 글
| [백준] 세로읽기 (10798번, node.js) (0) | 2024.04.16 |
|---|---|
| [백준] 최댓값 (node.js, 2566번) (0) | 2024.04.11 |
| [백준] 너의 평점은 (node.js, 25206번) (0) | 2024.04.08 |
| [백준] 그룹 단어 체커 (node.js , 1316번) (0) | 2024.04.07 |
| [백준] 크로아티아 알파벳 (node.js, 2941번) (0) | 2024.04.06 |